當進行金融投資行為時,技術分析提供了投資人判斷是否該進出場重要的依據,其中最有名氣的,也是大部分人們第一個學習參考的指標就是 KD 指標,藉由簡單的概念,作為投資的策略準則,而頻繁且廣泛的被使用,在這裡會試著說明 KD 指標並解釋其應用。
什麼是 KD 指標?
“ KD 指標” 又稱隨機指標[1] ( Stochastic oscillator) 並非一個數值,而是由 K 和 D 由兩個值所組成,在時間軸上可以藉由兩個 K 值和 D 值走勢來判斷是否該進場或出場。其中一部分大家耳熟能詳的 “黃金交叉”、”死亡交叉”也是來自這裡,藉由 KD 值交叉情形來判斷買進賣出的訊號。
- RSV 未成熟隨機值 ( Raw stochastic value ):
- K 值:
- D 值:
: 經過的交易時間
: 第
日的收盤價
: 過去
日內的最高價
: 過去
日內的最低價
如果感覺公式太過抽象的話,可以將 RSV 指標想像成在看當天收盤價 在日區間內是否為相對高點或低點,而 K 值則是 RSV 值的移動平均,D 值則是 K 值的移動平均。從公式可以了解到 RSV 本身就是
的 K 值,取移動平均的概念可以理解為將過去天期的資訊加入指標一起參考,而 RSV 值隨著收盤價和過去
日內的最高價和最低價變動,K 值又會隨著 RSV 值變動,D 值又隨著 K 值變動,不過在取移動平均下,K 值對 RSV 值的反應會比 D 值的反映更快。所以可以得知當 K 值大於 D 值時,收盤價位於過去
天內價格中的相對高點,反之亦然。而 KD 指標則是藉由相對高點與低點的概念來判斷現在是否該買或賣投資標的。
投資策略-黃金交叉、死亡交叉
在每個策略裡面都會有所謂的 “黃金交叉”、”死亡交叉” 。簡單來說就是買賣的訊號,當出現黃金交叉表示投資標的價格來到谷底,即將有一段上揚的波段,所以出現黃金交叉就是該買多的時候;而當出現死亡交叉則表示價格來到頂點,即將有一段下跌,所以出現死亡交叉則是該放空的時候。 而黃金交叉與死亡交叉則是利用某些準則將大量的財務資訊簡化到現在 “買多"、"放空" 兩個資訊。
在這裡介紹網路上最常見的例子:
- 黃金交叉: K<20, D<20, K 由下向上穿越 D 線
- 死亡交叉: K>80, D>80, K 由上向下穿越 D 線

以大台指期貨為例,上圖中 KD indicator 的兩條灰色水平線分別為 80%, 20%,橘色箭頭標出的是上述定義的黃金交叉,綠色的則是定義中的死亡交叉。不難發現第一個黃金交叉的訊息是有點失誤的,假設當看到第一個 V 字底出現時,跟著訊號做多,如果在第一個波段出現時,沒有獲利了結出場的話,抱得越久會賠得越慘,不過這是在假設在已經知道未來價格的走勢的情況下,通常如何制定一個有效率的出場機制,也是策略的重點之一。而後面兩個綠色箭頭所指出的死亡交叉,也明確標出大台指期貨的相對高點。所以從這裡可以得到一個小結論, KD 指標比較難判斷未來的大趨勢或大波段,就像是第一個橘色箭頭帶來幾乎相反的訊息。
歷史報酬檢視
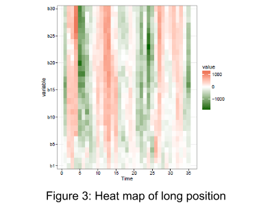
接著依據剛剛所制定的黃金交叉、死亡交叉準則來檢視根據 KD 指標為準則所做的投資績效,所使用的資料為 1998/07/21 至 2016/01/21 當日的收盤價、最高成交價、最低成交價。KD 值計算所使用的參數為 挑選出 9 日內最高成交價與最低成交價計算 KD 值,依據歷史的資料計算後獲得 82 筆的死亡交叉訊息,及 35 筆黃金交叉訊息。接著根據當天的收盤價去計算後 30 天期間內的報酬,在這裡使用熱圖 (heat map) 來表示損益,紅色表示正收益,綠色表示負收益,橫軸的 Time 變數為在時間上依序出現的黃金交叉與死亡交叉訊息,而縱軸所代表的則是交易後 m 天的損益,當顏色越深表示數值越大。


從圖 2, 3 可以得到3個重要訊息:
- 損益近幾年逐漸淡化,損益從圖 2 的第 55 筆 (2010-6-20) 訊息開始淡化,圖 3 的第 25 筆 (2008-10-21) 開始淡化,這表示在 2008 年以前使用 KD 指標做為參考依據比較容易有大賺大賠的情況發生,而在 2010 年後依據 KD 指標作為投資策略的損益較小。
- 損益隨著持有的時間增加,不難想像的越長的持有天期損益會更加劇烈,持有日期 5 天以內的顏色很淡,表示損益較遠天期的持有損益小,從另一個角度想或許可以透過越長的持有天期來調整實際損益。
- 從熱圖發現由 KD 指標作為投資策略的損益,會有群聚效應,在某個時間點,若賺錢的話會一直賺錢,賠錢的話則會一直賠錢,像是有週期性的反覆出現,圖 2 的周期較短,圖 3 的周期較長。
結語
- 因為 KD 指標公式的特性,只會考慮目前收盤價的位於 n 內相對高點或低點,如果未來出現長期趨勢的向下或向上的波段,只參考 KD 指標會容易出現失誤。
- 依據 80-20 制訂的策略進行投資,近期的投資較容易出現小賺小賠的情況。